Официальное опубликование правовых актов
ОФИЦИАЛЬНОЕ ОПУБЛИКОВАНИЕ
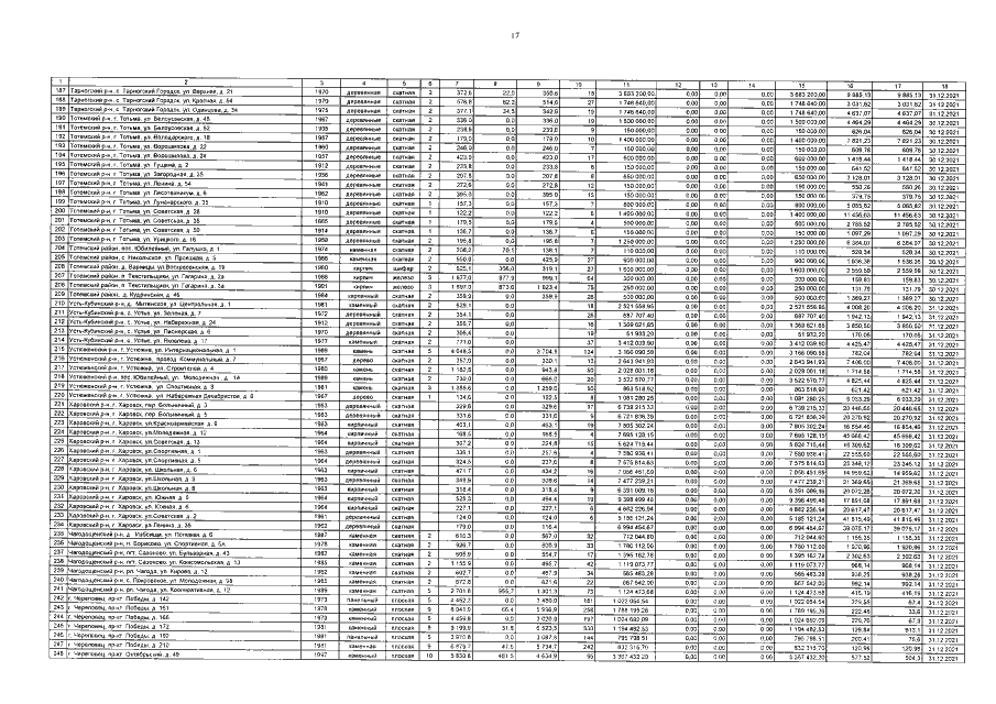
Постановление Правительства Вологодской области от 26.02.2018 № 184
"Об утверждении краткосрочного плана реализации Областной программы капитального ремонта общего имущества в многоквартирных домах на территории Вологодской области, утвержденной постановлением Правительства области от 23 декабря 2013 года № 1354, на 2019 - 2021 годы"
Номер опубликования: 3500201802270012
Дата опубликования: 27.02.2018
Страница №17 из 46:
Увеличить