Официальное опубликование правовых актов
ОФИЦИАЛЬНОЕ ОПУБЛИКОВАНИЕ
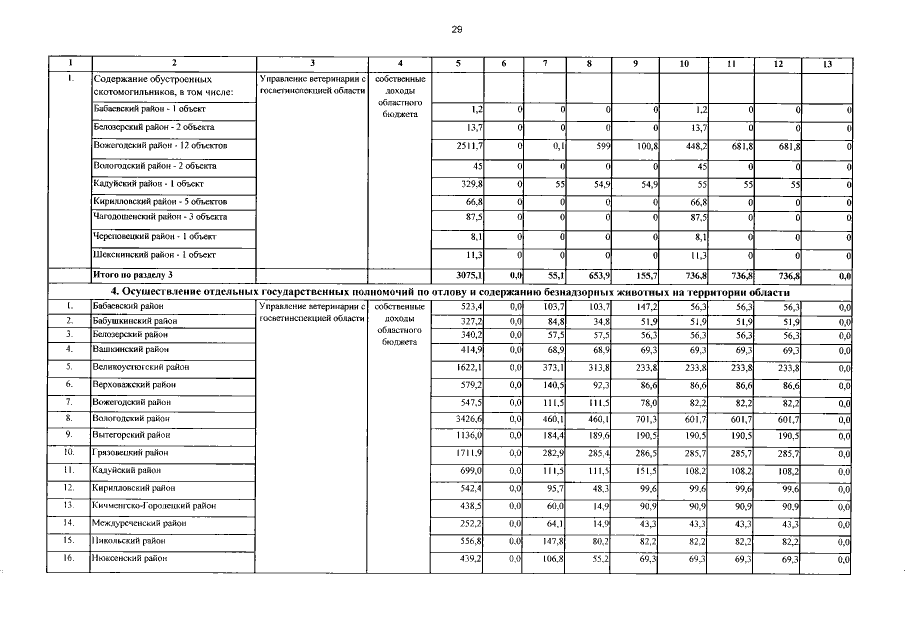
Постановление Правительства Вологодской области от 12.02.2018 № 126
"О внесении изменений в постановление Правительства области от 22 октября 2012 года № 1228"
Номер опубликования: 3500201802140007
Дата опубликования: 14.02.2018
Страница №29 из 38:
Увеличить