Официальное опубликование правовых актов
ОФИЦИАЛЬНОЕ ОПУБЛИКОВАНИЕ
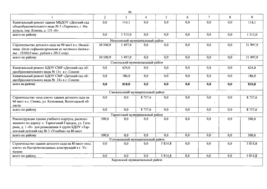
Постановление Правительства Вологодской области от 11.12.2017 №1093 "О внесении изменений в постановление Правительства области от 28 октября 2013 года № 1105"
Номер опубликования: 3500201712120012
Дата опубликования: 12.12.2017
Страница №90 из 100:
Увеличить