Официальное опубликование правовых актов
ОФИЦИАЛЬНОЕ ОПУБЛИКОВАНИЕ
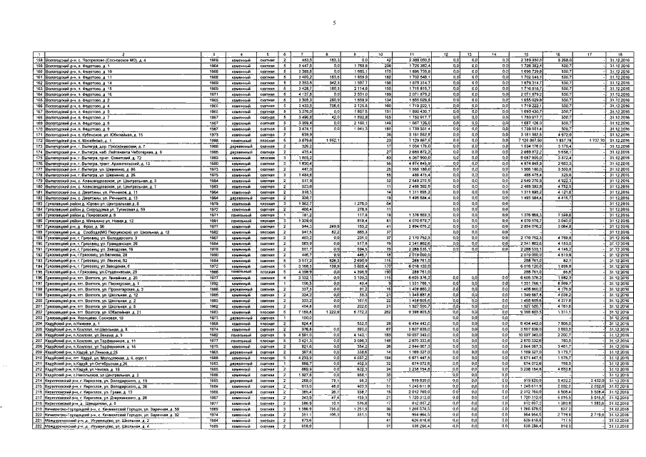
Постановление Правительства Вологодской области от 30.10.2017 № 958
"О внесении изменений в постановление Правительства области от 8 февраля 2016 года № 100"
Номер опубликования: 3500201711010001
Дата опубликования: 01.11.2017
Страница №5 из 66:
Увеличить