Официальное опубликование правовых актов
ОФИЦИАЛЬНОЕ ОПУБЛИКОВАНИЕ
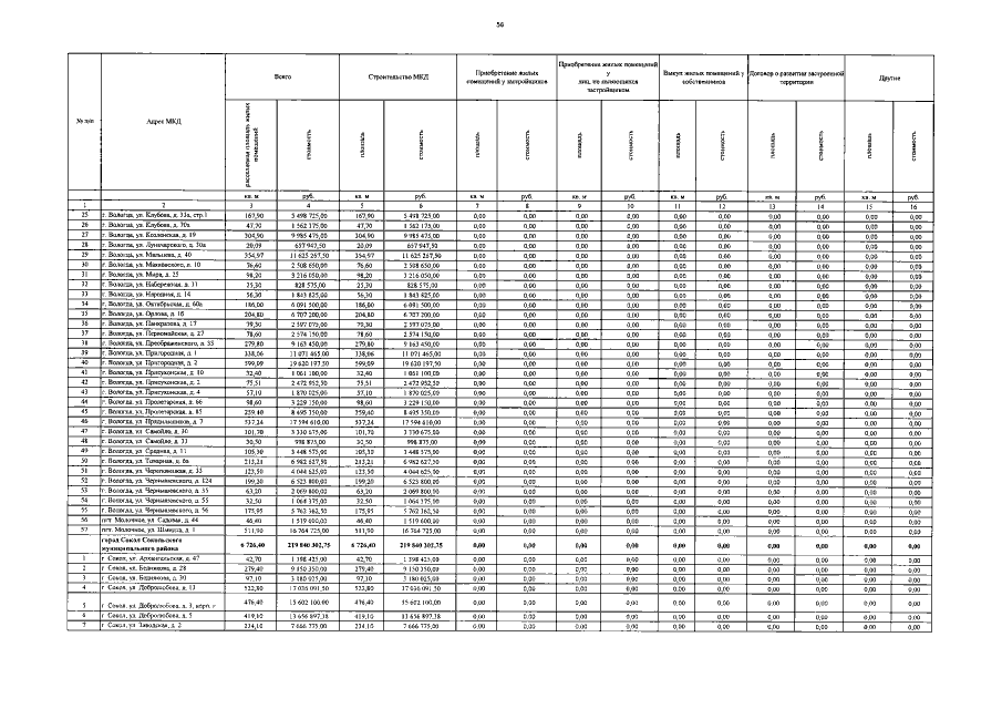
Постановление Правительства Вологодской области от 18.09.2017 № 847
"О внесении изменений в постановление Правительства области от 29 апреля 2013 года № 484"
Номер опубликования: 3500201709200020
Дата опубликования: 20.09.2017
Страница №56 из 71:
Увеличить