Официальное опубликование правовых актов
ОФИЦИАЛЬНОЕ ОПУБЛИКОВАНИЕ
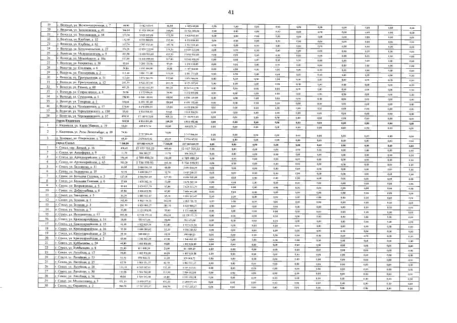
Постановление Правительства Вологодской области от 10.07.2017 № 622
"О внесении изменений в постановление Правительства области от 29 апреля 2013 года № 484"
Номер опубликования: 3500201707110010
Дата опубликования: 11.07.2017
Страница №41 из 59:
Увеличить