Официальное опубликование правовых актов
ОФИЦИАЛЬНОЕ ОПУБЛИКОВАНИЕ
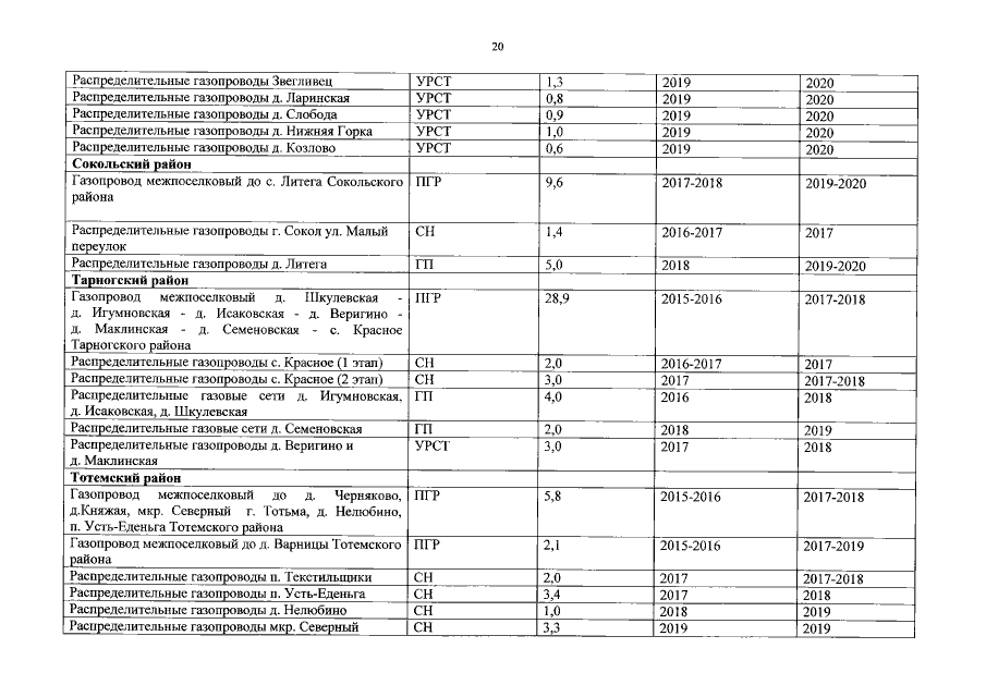
Постановление Губернатора Вологодской области от 31.05.2017 № 158
"Об утверждении Региональной программы газификации жилищно-коммунального хозяйства, промышленных и иных организаций на территории Вологодской области на 2017-2021 годы"
Номер опубликования: 3500201706010001
Дата опубликования: 01.06.2017
Страница №20 из 23:
Увеличить