Официальное опубликование правовых актов
ОФИЦИАЛЬНОЕ ОПУБЛИКОВАНИЕ
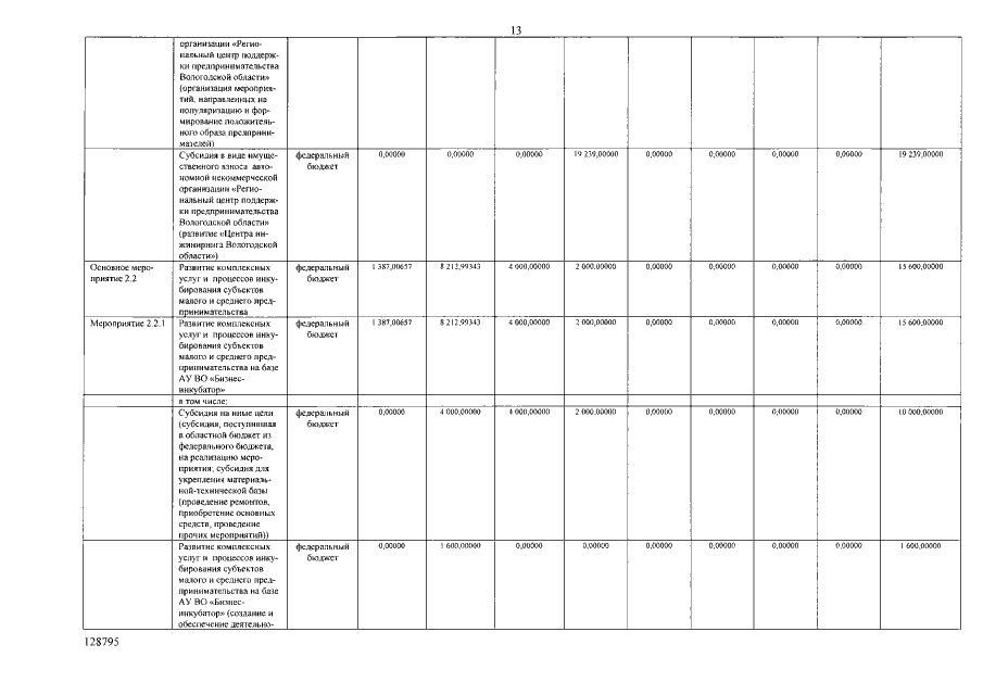
Постановление Правительства Вологодской области от 15.05.2017 № 427
"О внесении изменений в постановление Правительства области от 3 октября 2012 года № 1156"
Номер опубликования: 3500201705170003
Дата опубликования: 17.05.2017
Страница №13 из 31:
Увеличить