Официальное опубликование правовых актов
ОФИЦИАЛЬНОЕ ОПУБЛИКОВАНИЕ
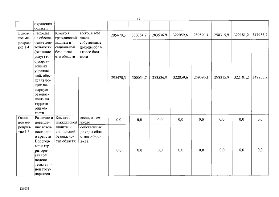
Постановление Правительства Вологодской области от 30.01.2017 № 90
"О внесении изменений в постановление Правительства области от 22 октября 2012 года № 1220"
Номер опубликования: 3500201701310014
Дата опубликования: 31.01.2017
Страница №17 из 37:
Увеличить