Официальное опубликование правовых актов
ОФИЦИАЛЬНОЕ ОПУБЛИКОВАНИЕ
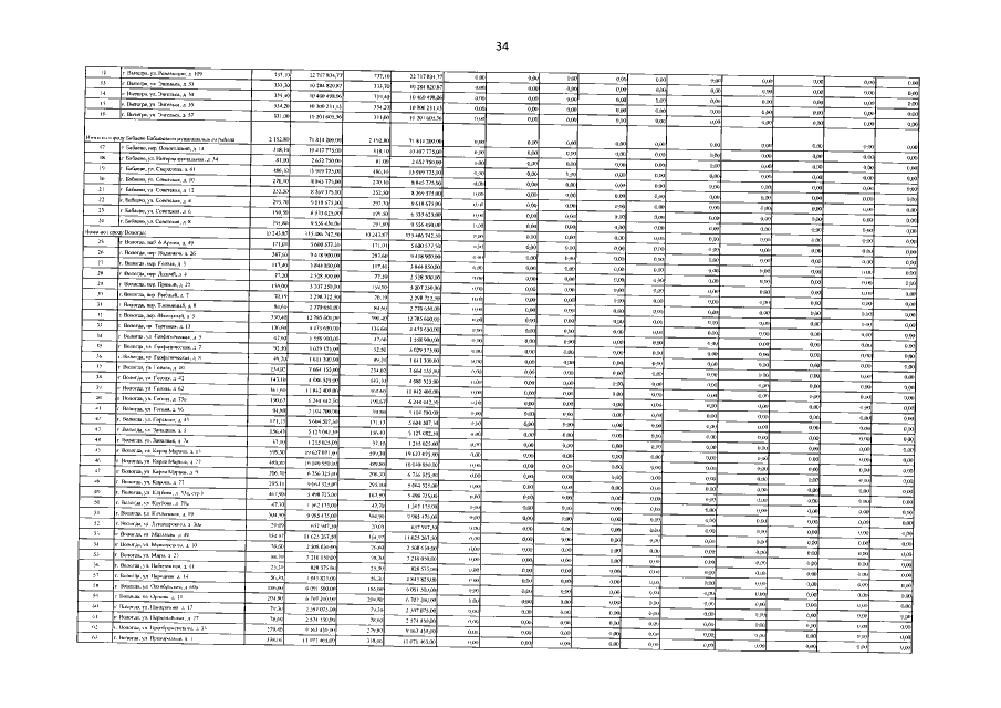
Постановление Правительства Вологодской области от 13.09.2016 № 826
"О внесении изменений в постановление Правительства области от 29 апреля 2013 года № 484"
Номер опубликования: 3500201609140012
Дата опубликования: 14.09.2016
Страница №34 из 56:
Увеличить