Официальное опубликование правовых актов
ОФИЦИАЛЬНОЕ ОПУБЛИКОВАНИЕ
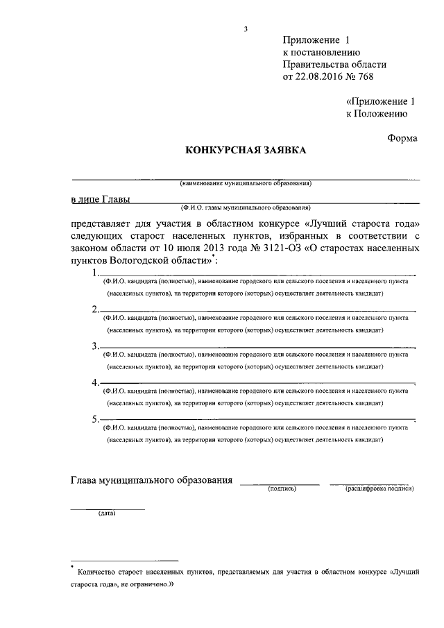
Постановление Правительства Вологодской области от 22.08.2016 № 768
"О внесении изменений в постановление Правительства области от 5 декабря 2014 года № 1089"
Номер опубликования: 3500201608230003
Дата опубликования: 23.08.2016
Страница №3 из 7:
Увеличить