Официальное опубликование правовых актов
ОФИЦИАЛЬНОЕ ОПУБЛИКОВАНИЕ
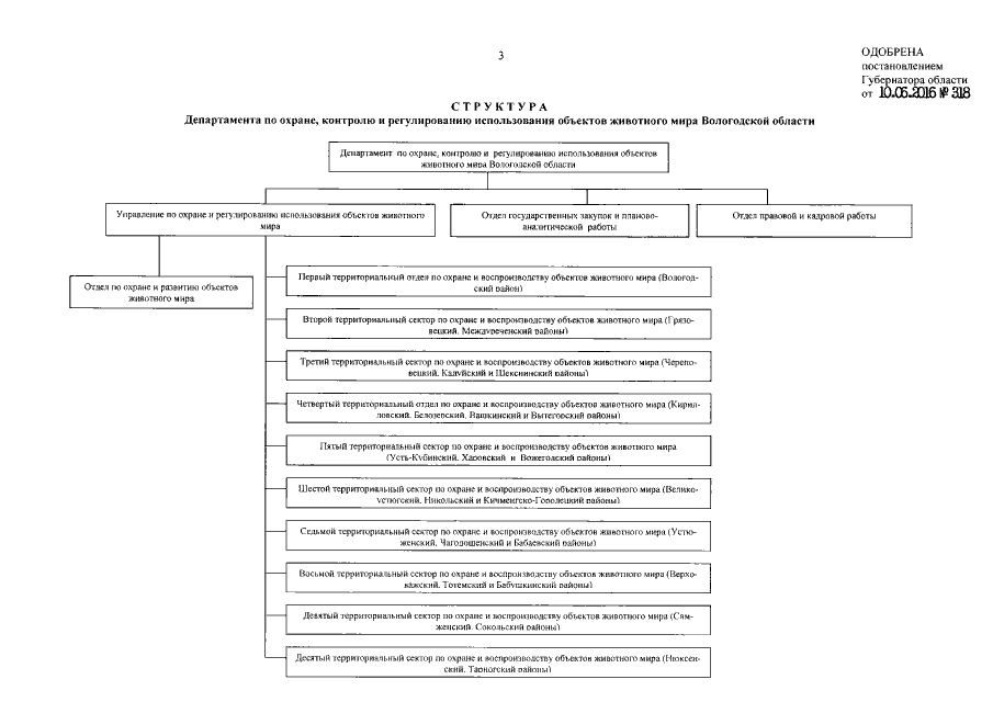
Постановление Губернатора Вологодской области от 10.06.2016 № 318
"Об одобрении структуры Департамента по охране, контролю и регулированию использования объектов животного мира Вологодской области"
Номер опубликования: 3500201606150002
Дата опубликования: 15.06.2016
Страница №3 из 3:
Увеличить