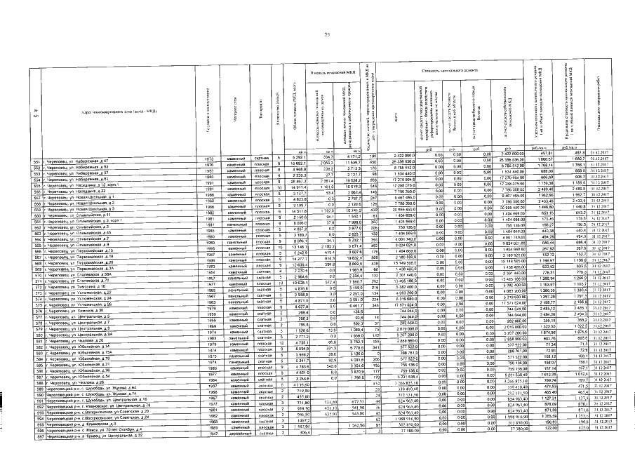
Постановление Правительства Вологодской области от 08.02.2016 № 100
"Об утверждении краткосрочного плана реализации Областной программы капитального ремонта общего имущества в многоквартирных домах на территории Вологодской области на 2016-2018 годы"
"Об утверждении краткосрочного плана реализации Областной программы капитального ремонта общего имущества в многоквартирных домах на территории Вологодской области на 2016-2018 годы"
Номер опубликования: 3500201602090009
Дата опубликования:
09.02.2016
