Официальное опубликование правовых актов
ОФИЦИАЛЬНОЕ ОПУБЛИКОВАНИЕ
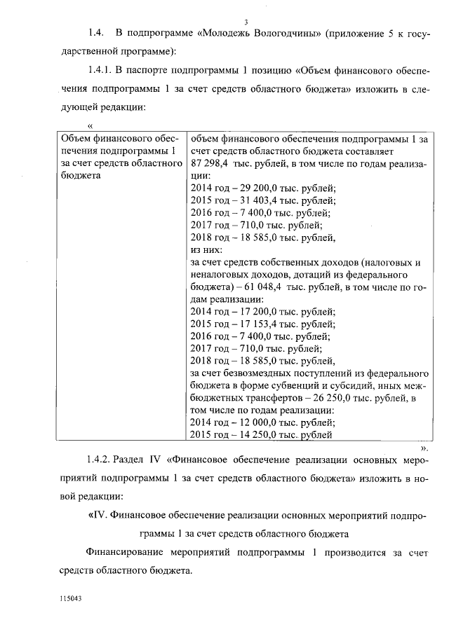
Постановление Правительства Вологодской области от 28.12.2015 № 1206
"О внесении изменений в постановление Правительства области от 28 октября 2013 года № 1102"
Номер опубликования: 3500201512310029
Дата опубликования: 31.12.2015
Страница №3 из 22:
Увеличить