Официальное опубликование правовых актов
ОФИЦИАЛЬНОЕ ОПУБЛИКОВАНИЕ
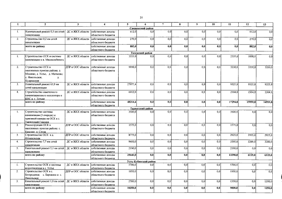
Постановление Правительства Вологодской области от 14.12.2015 № 1093
"О внесении изменений в постановление Правительства области от 22 октября 2012 года № 1228"
Номер опубликования: 3500201512150032
Дата опубликования: 15.12.2015
Страница №31 из 96:
Увеличить