Официальное опубликование правовых актов
ОФИЦИАЛЬНОЕ ОПУБЛИКОВАНИЕ
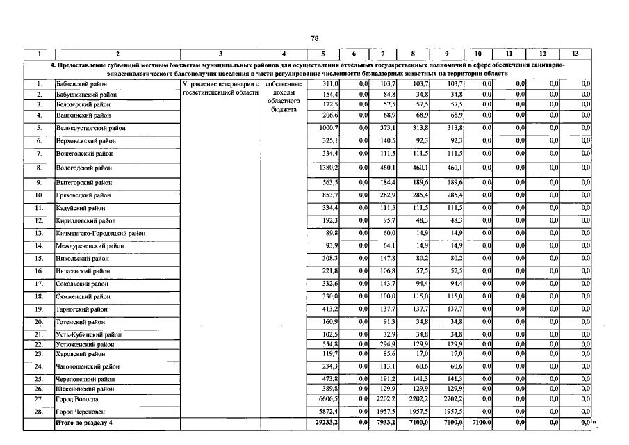
Постановление Правительства Вологодской области от 27.07.2015 № 618
"О внесении изменений в постановление Правительства области от 22 октября 2012 года № 1228"
Номер опубликования: 3500201507300003
Дата опубликования: 30.07.2015
Страница №78 из 85:
Увеличить