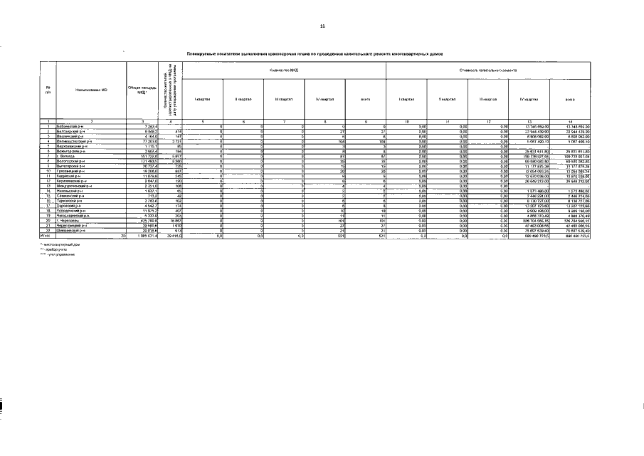
Постановление Правительства Вологодской области от 06.07.2015 № 565
"Об утверждении краткосрочного плана реализации Областной программы капитального ремонта общего имущества в многоквартирных домах на территории Вологодской области на 2016 год"
"Об утверждении краткосрочного плана реализации Областной программы капитального ремонта общего имущества в многоквартирных домах на территории Вологодской области на 2016 год"
Номер опубликования: 3500201507080005
Дата опубликования:
08.07.2015
