Постановление Правительства Вологодской области от 06.04.2015 № 289
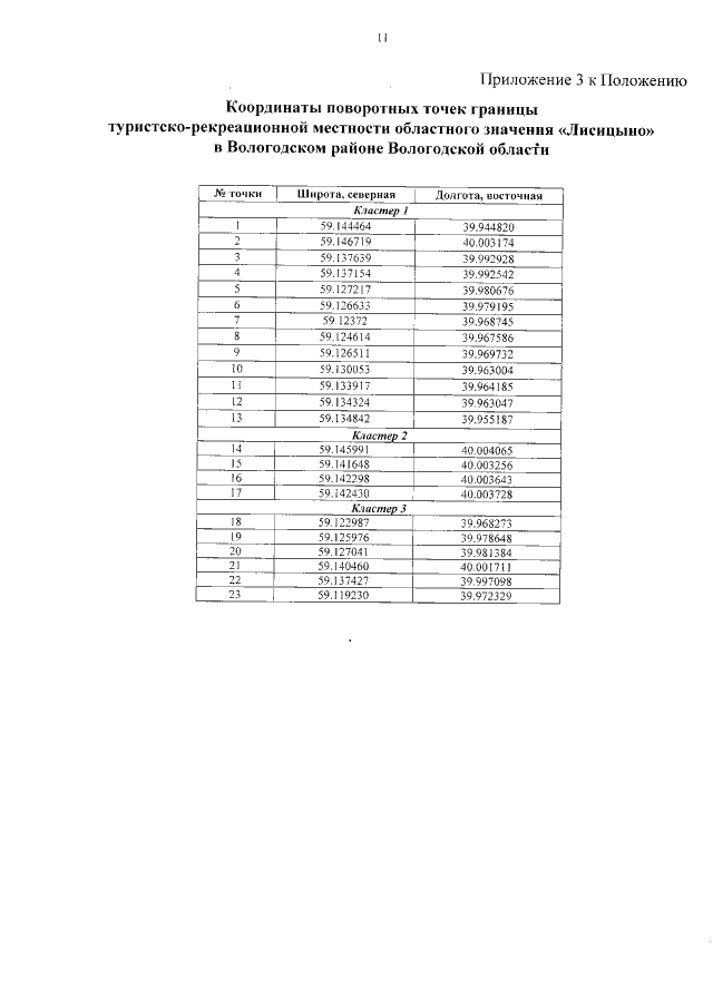
"О создании особо охраняемой природной территории областного значения туристско-рекреационной местности "Лисицыно" в Вологодском районе Вологодской области"
"О создании особо охраняемой природной территории областного значения туристско-рекреационной местности "Лисицыно" в Вологодском районе Вологодской области"
Номер опубликования: 3500201504080011
Дата опубликования:
08.04.2015
