Официальное опубликование правовых актов
ОФИЦИАЛЬНОЕ ОПУБЛИКОВАНИЕ
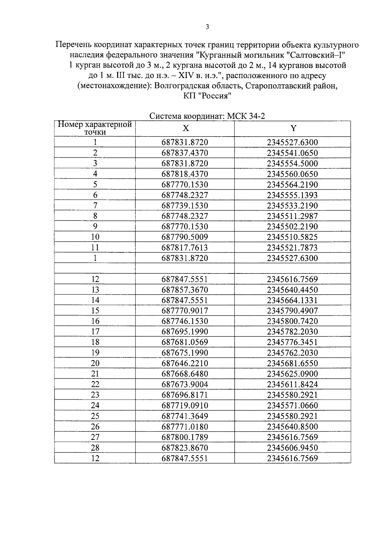
Приказ комитета государственной охраны объектов культурного наследия Волгоградской области от 25.12.2025 № 117-н
"Об утверждении границ и режима использования территории объектов культурного наследия федерального значения, являющихся памятниками археологии, расположенных на территории Старополтавского района Волгоградской области"
Номер опубликования: 3401202512260011
Дата опубликования: 26.12.2025
Страница №29 из 32:
Увеличить