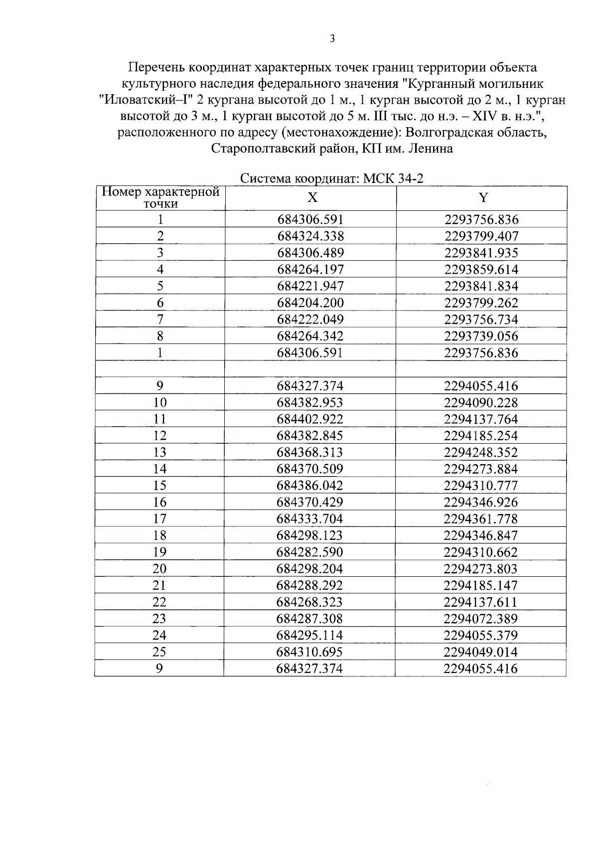
Приказ комитета государственной охраны объектов культурного наследия Волгоградской области от 25.12.2025 № 116-н
"Об утверждении границ и режима использования территории объектов культурного наследия федерального значения, являющихся памятниками археологии, расположенных на территории Котельниковского и Старополтавского районов Волгоградской области"
"Об утверждении границ и режима использования территории объектов культурного наследия федерального значения, являющихся памятниками археологии, расположенных на территории Котельниковского и Старополтавского районов Волгоградской области"
Номер опубликования: 3401202512260009
Дата опубликования:
26.12.2025
