Официальное опубликование правовых актов
ОФИЦИАЛЬНОЕ ОПУБЛИКОВАНИЕ
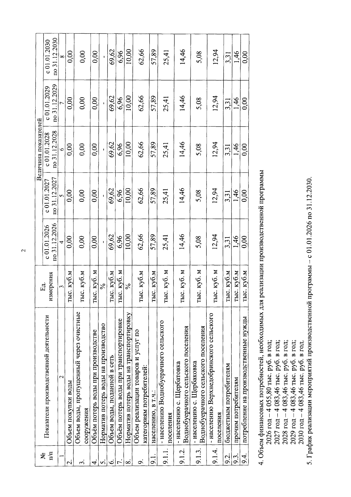
Приказ комитета тарифного регулирования Волгоградской области от 19.12.2025 № 50/116
"Об установлении тарифов на питьевую воду (питьевое водоснабжение) для потребителей МКП "ЖКХ" Воднобуерачного сельского поселения Камышинского муниципального района Волгоградской области"
Номер опубликования: 3401202512250039
Дата опубликования: 25.12.2025
Страница №6 из 8:
Увеличить