Официальное опубликование правовых актов
ОФИЦИАЛЬНОЕ ОПУБЛИКОВАНИЕ
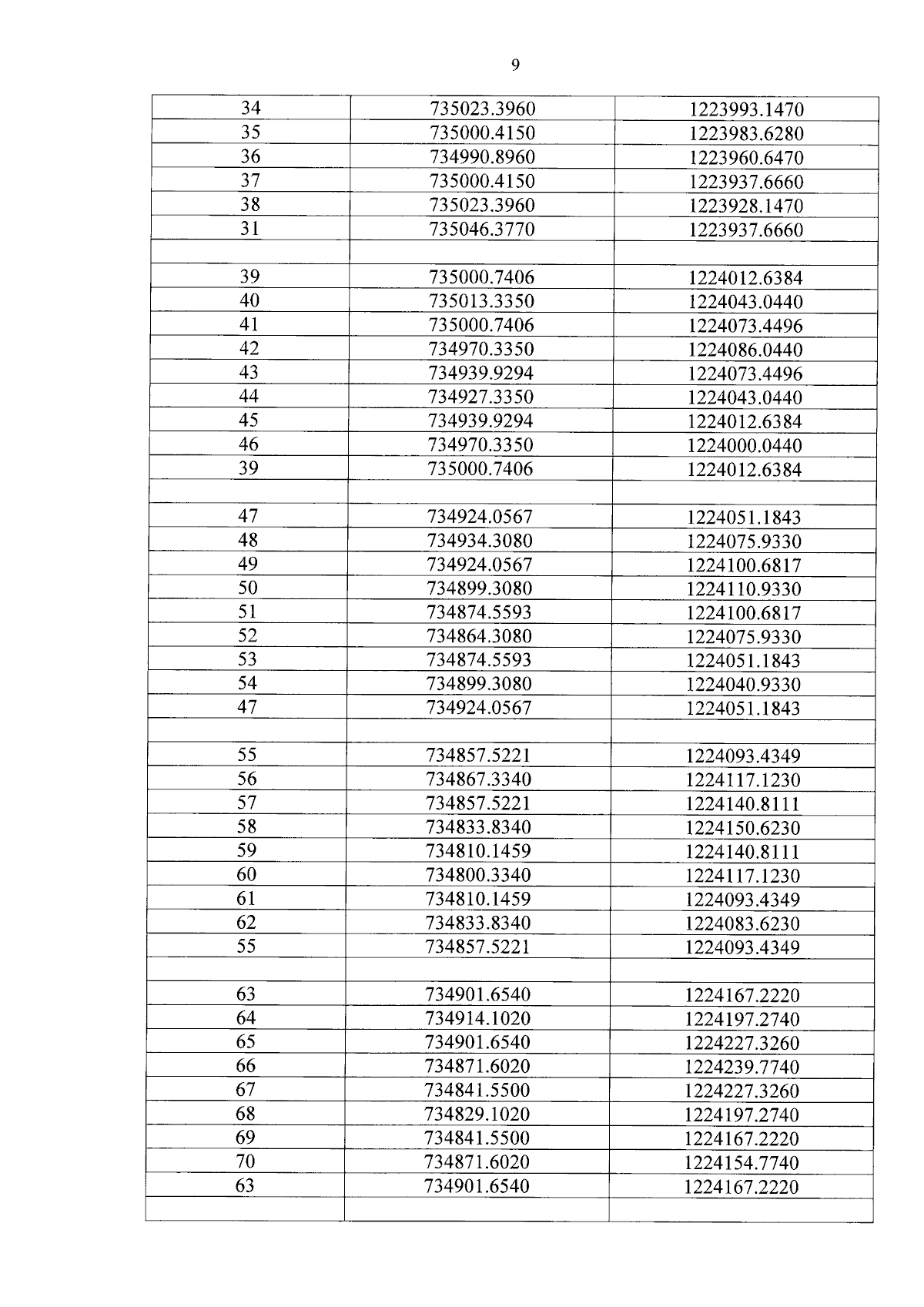
Приказ комитета государственной охраны объектов культурного наследия Волгоградской области от 16.12.2025 № 107-н
"Об утверждении границ и режима использования территории объектов культурного наследия федерального значения, являющихся памятниками археологии, расположенных на территории Урюпинского района Волгоградской области"
Номер опубликования: 3401202512170009
Дата опубликования: 17.12.2025
Страница №26 из 42:
Увеличить