Официальное опубликование правовых актов
ОФИЦИАЛЬНОЕ ОПУБЛИКОВАНИЕ
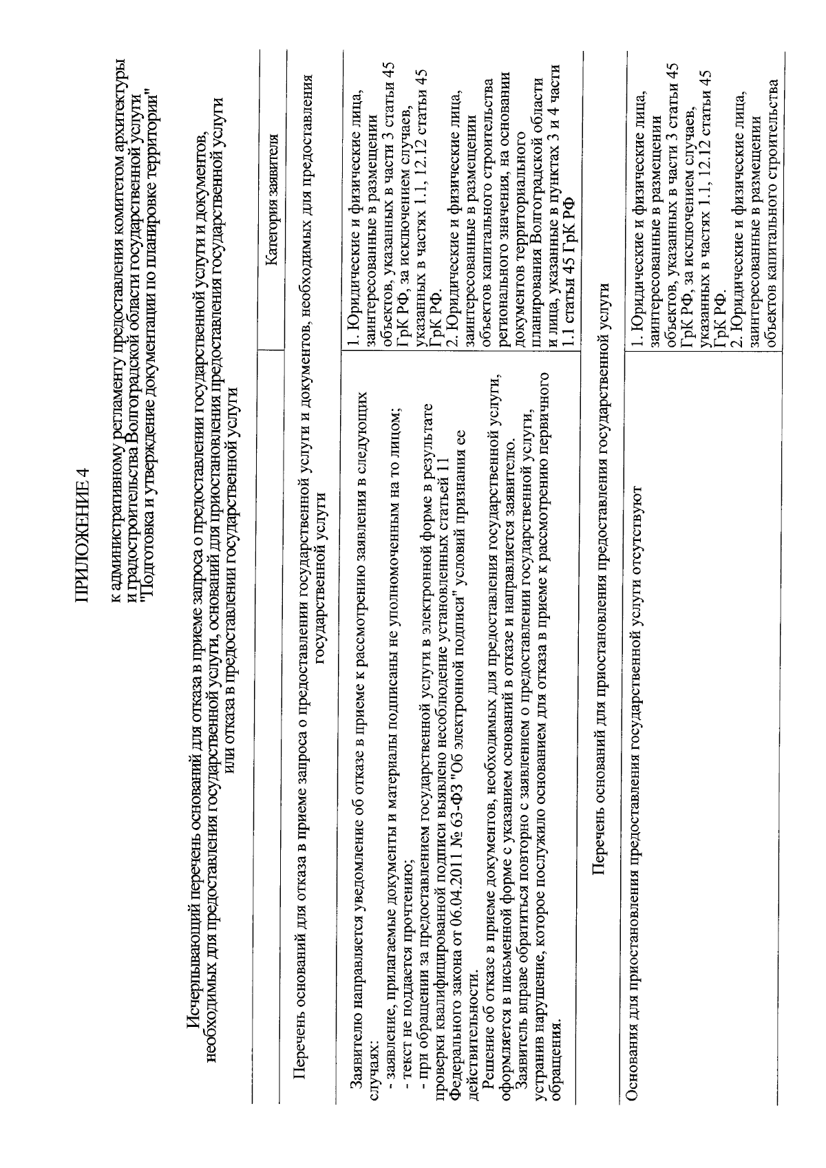
Приказ комитета архитектуры и градостроительства Волгоградской области от 11.12.2025 № 101-ОД
"Об утверждении административного регламента предоставления комитетом архитектуры и градостроительства Волгоградской области государственной услуги "Подготовка и утверждение документации по планировке территории"
Номер опубликования: 3401202512120002
Дата опубликования: 12.12.2025
Страница №20 из 28:
Увеличить