Официальное опубликование правовых актов
ОФИЦИАЛЬНОЕ ОПУБЛИКОВАНИЕ
Приказ комитета социальной защиты населения Волгоградской области от 21.11.2025 № 2389
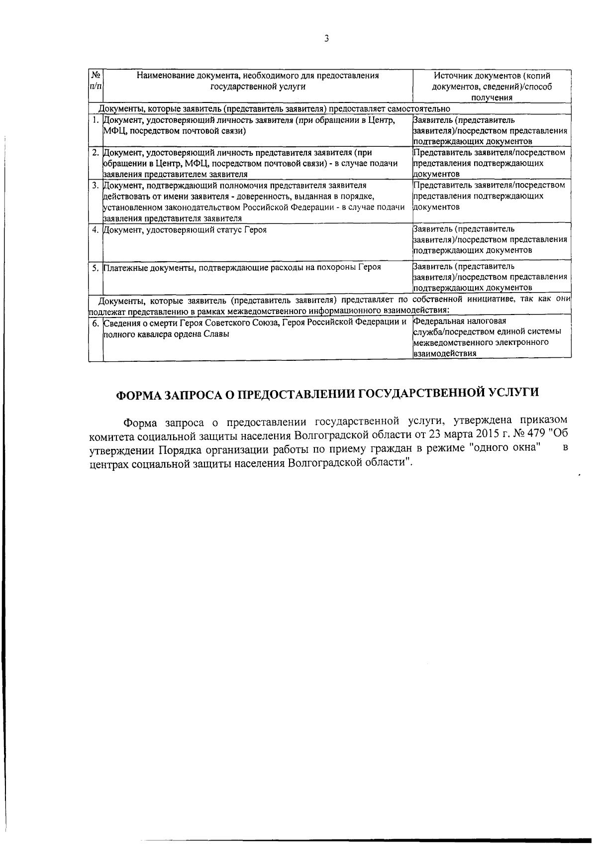
"Об утверждении административного регламента предоставления государственной услуги "Предоставление мер социальной поддержки Героям Советского Союза, Героям Российской Федерации, Героям Социалистического труда, полным кавалерам ордена Славы и ордена Трудовой Славы"
Номер опубликования: 3401202511250005
Дата опубликования: 25.11.2025
Страница №18 из 19:
Увеличить