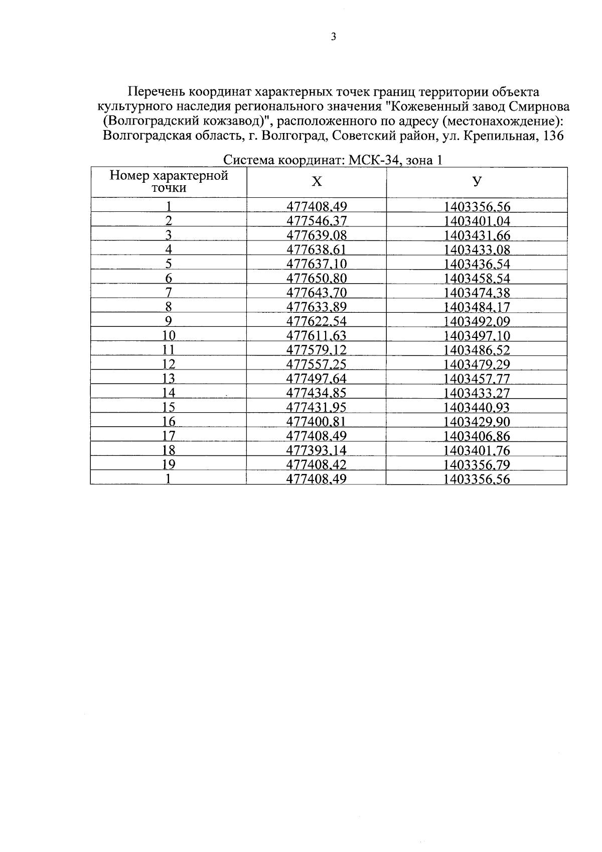
Приказ комитета государственной охраны объектов культурного наследия Волгоградской области от 23.04.2025 № 51-н
"Об утверждении границ и режимов использования территории объектов культурного наследия регионального значения, расположенных на территории городского округа город-герой Волгоград и Серафимовичского района Волгоградской области"
"Об утверждении границ и режимов использования территории объектов культурного наследия регионального значения, расположенных на территории городского округа город-герой Волгоград и Серафимовичского района Волгоградской области"
Номер опубликования: 3401202504240005
Дата опубликования:
24.04.2025
