Официальное опубликование правовых актов
ОФИЦИАЛЬНОЕ ОПУБЛИКОВАНИЕ
Приказ комитета природных ресурсов, лесного хозяйства и экологии Волгоградской области от 27.05.2024 № 748-ОД
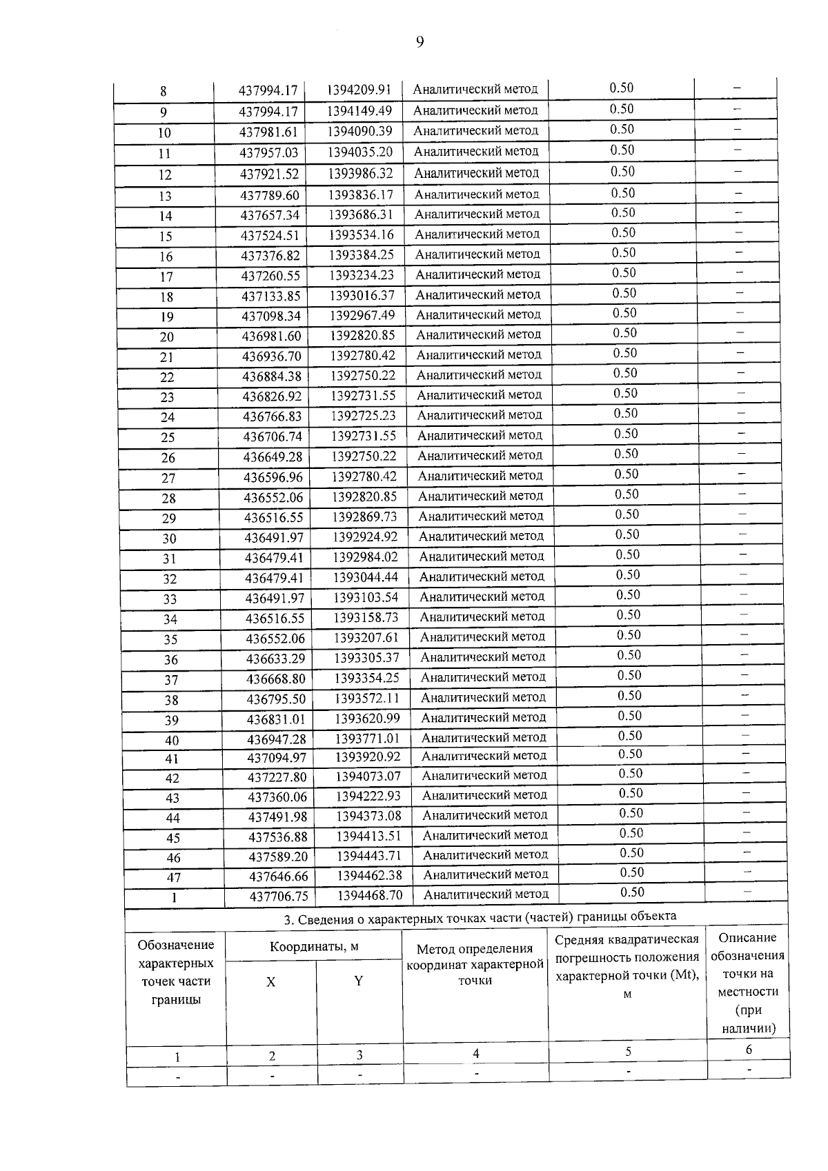
"Об утверждении решения об установлении зоны санитарной охраны водозаборных скважин №№ 1Т-8Т для питьевого и хозяйственно-бытового водоснабжения АО "Транснефть-Приволга" ГПС "Тингута", расположенной по адресу: Волгоградская область, Светлоярский район, в 3,0 км юго-восточнее п. Прудовый"
Номер опубликования: 3401202405300002
Дата опубликования: 30.05.2024
Страница №14 из 14:
Увеличить