Приказ комитета финансов Волгоградской области от 18.04.2024 № 17н
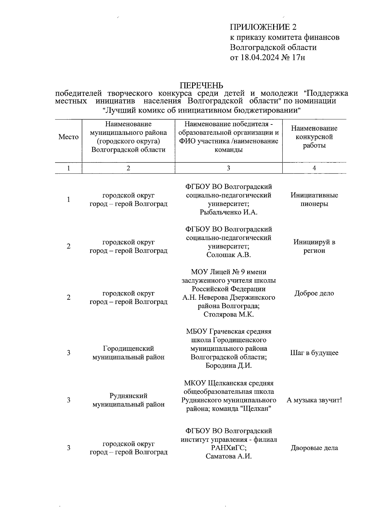
"Об утверждении перечня победителей творческого конкурса среди детей и молодежи "Поддержка местных инициатив населения Волгоградской области"
"Об утверждении перечня победителей творческого конкурса среди детей и молодежи "Поддержка местных инициатив населения Волгоградской области"
Номер опубликования: 3401202404190004
Дата опубликования:
19.04.2024
