Приказ комитета природных ресурсов, лесного хозяйства и экологии Волгоградской области от 09.04.2024 № 562-ОД
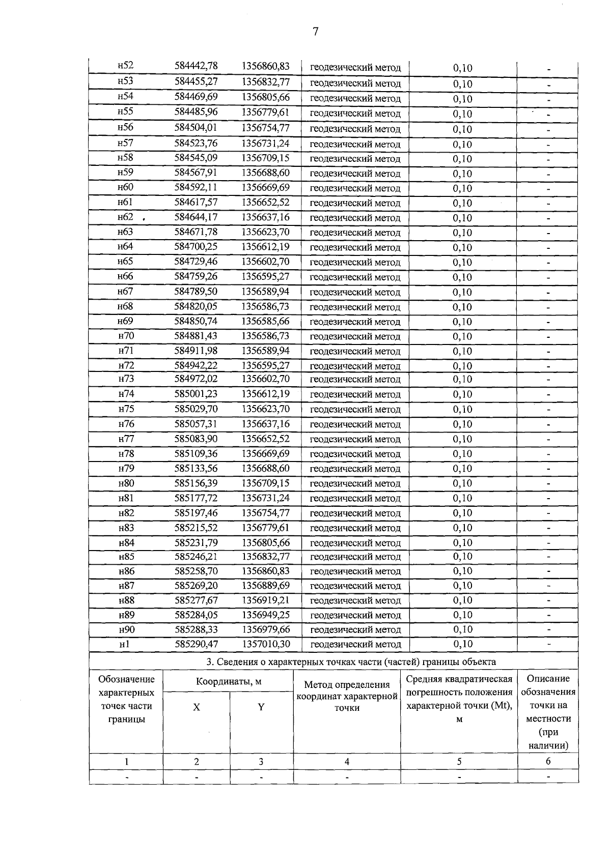
"Об утверждении решения об установлении зон санитарной охраны скважин №№ 06483, 06526 водозабора для питьевых и хозяйственно-бытовых нужд, расположенного по адресу: Волгоградская область, Фроловский район, х. Верхние Липки (кадастровые номера земельных участков 34:32:120008:190, 34:32:120008:544)"
"Об утверждении решения об установлении зон санитарной охраны скважин №№ 06483, 06526 водозабора для питьевых и хозяйственно-бытовых нужд, расположенного по адресу: Волгоградская область, Фроловский район, х. Верхние Липки (кадастровые номера земельных участков 34:32:120008:190, 34:32:120008:544)"
Номер опубликования: 3401202404110007
Дата опубликования:
11.04.2024
