Официальное опубликование правовых актов
ОФИЦИАЛЬНОЕ ОПУБЛИКОВАНИЕ
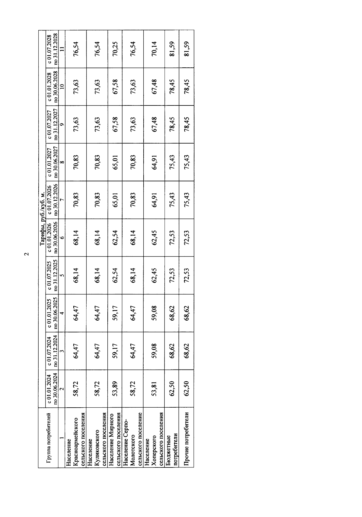
Приказ комитета тарифного регулирования Волгоградской области от 07.12.2023 № 48/67
"Об установлении тарифов на питьевую воду (питьевое водоснабжение) для потребителей УМП "Новониколаевское МПОКХ" Новониколаевского муниципального района Волгоградской области"
Номер опубликования: 3401202312120046
Дата опубликования: 12.12.2023
Страница №5 из 10:
Увеличить