Официальное опубликование правовых актов
ОФИЦИАЛЬНОЕ ОПУБЛИКОВАНИЕ
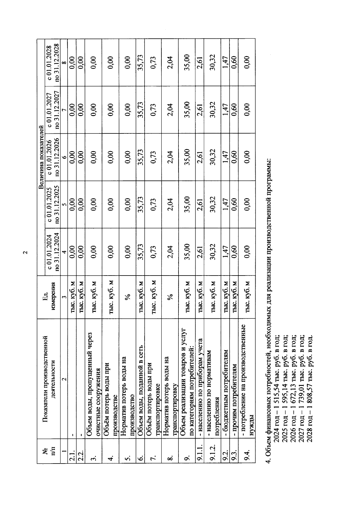
Приказ комитета тарифного регулирования Волгоградской области от 07.12.2023 № 48/45
"Об установлении тарифов на техническую воду для потребителей МУП "Родник" Ильичевского сельского поселения Ленинского муниципального района Волгоградской области"
Номер опубликования: 3401202312120034
Дата опубликования: 12.12.2023
Страница №6 из 7:
Увеличить