Официальное опубликование правовых актов
ОФИЦИАЛЬНОЕ ОПУБЛИКОВАНИЕ
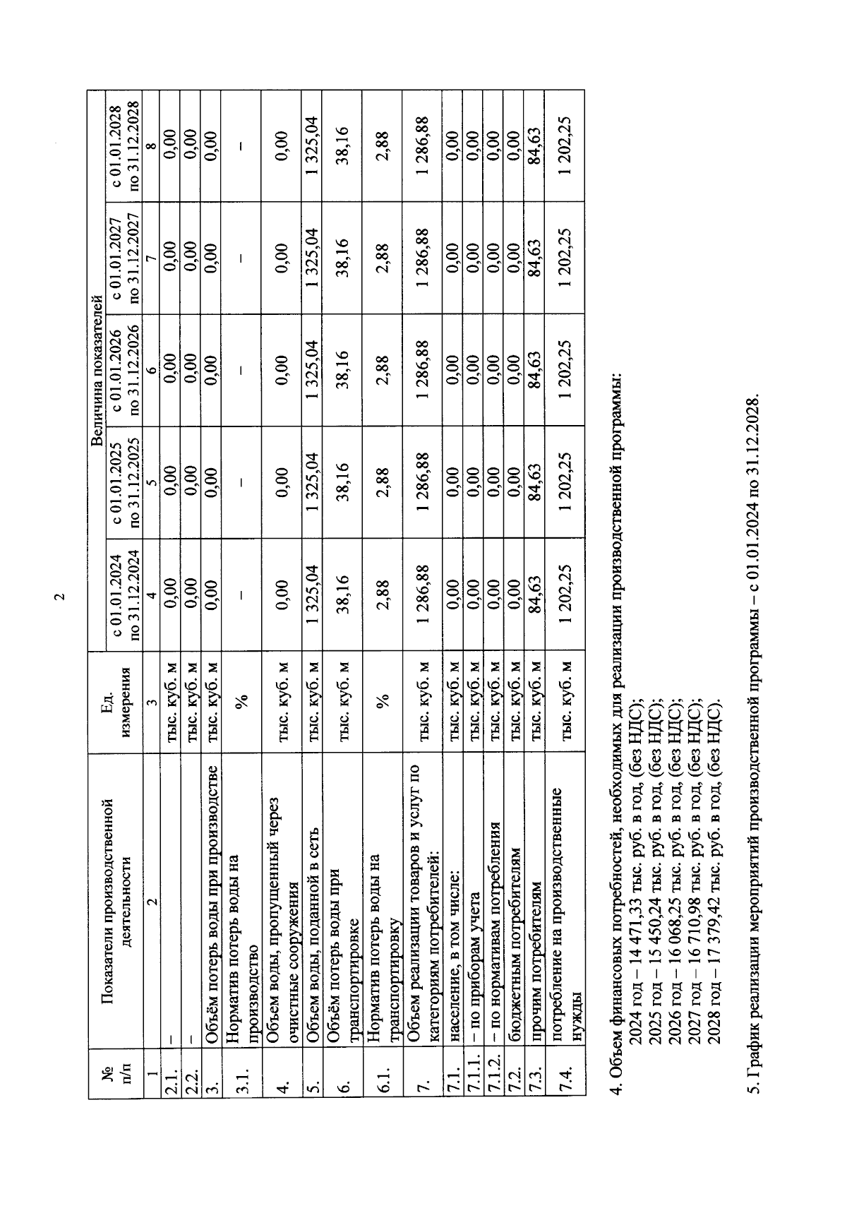
Приказ комитета тарифного регулирования Волгоградской области от 07.12.2023 № 48/4
"Об установлении тарифов на техническую воду для потребителей АО "РУСАЛ Урал" (филиал "РУСАЛ Волгоград" АО "РУСАЛ Урал")"
Номер опубликования: 3401202312120027
Дата опубликования: 12.12.2023
Страница №6 из 7:
Увеличить