Официальное опубликование правовых актов
ОФИЦИАЛЬНОЕ ОПУБЛИКОВАНИЕ
Приказ комитета природных ресурсов, лесного хозяйства и экологии Волгоградской области от 20.09.2023 № 03-34/647-К
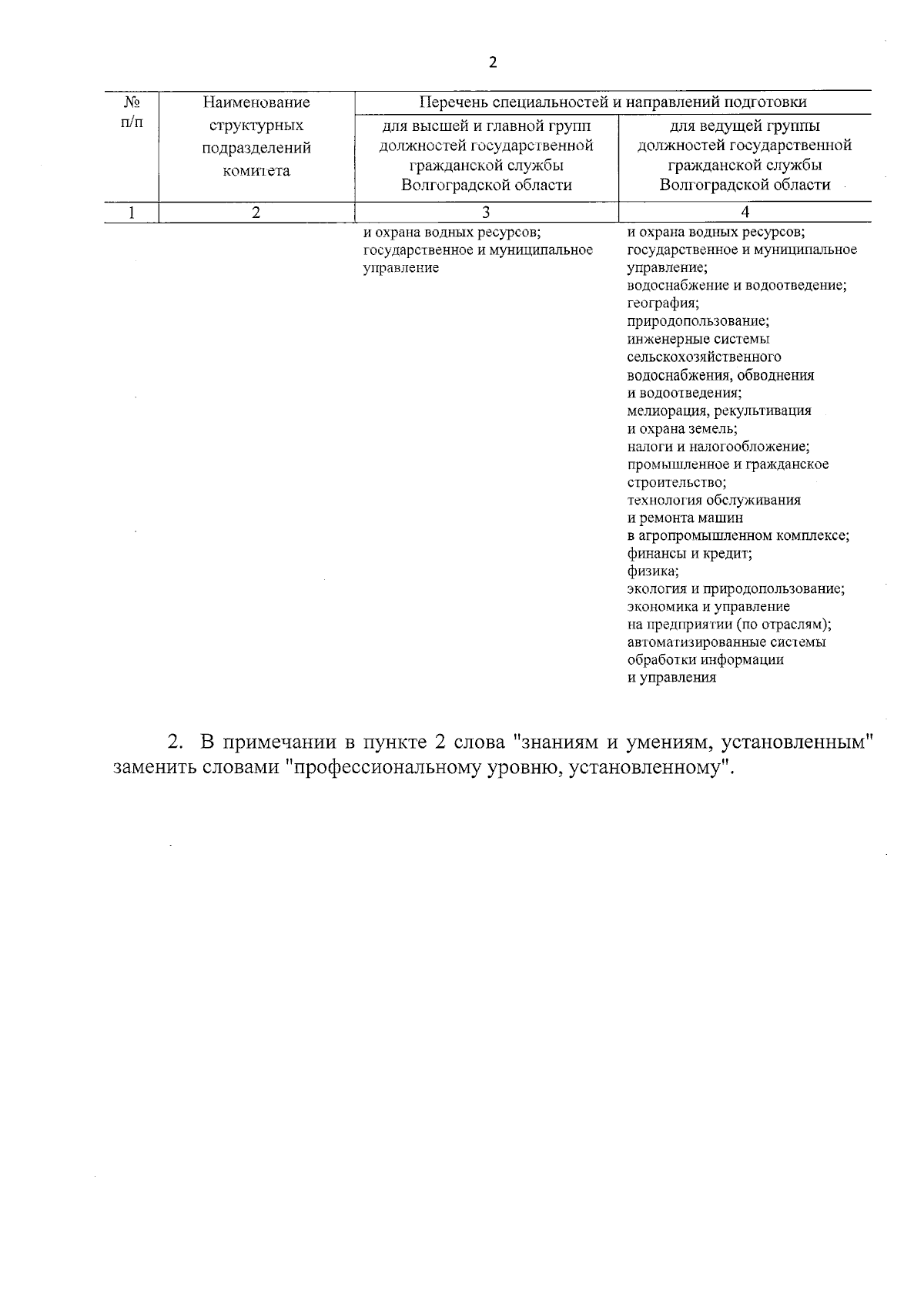
"О внесении изменений в приказ комитета природных ресурсов, лесного хозяйства и экологии Волгоградской области от 09 января 2023 г. № 03-34/1-К "Об утверждении квалификационных требований к специальностям и направлениям подготовки, необходимых для замещения должностей государственной гражданской службы Волгоградской области в структурных подразделениях комитета природных ресурсов, лесного хозяйства и экологии Волгоградской области"
Номер опубликования: 3401202309210002
Дата опубликования: 21.09.2023
Страница №3 из 3:
Увеличить