Официальное опубликование правовых актов
ОФИЦИАЛЬНОЕ ОПУБЛИКОВАНИЕ
Приказ комитета по управлению государственным имуществом Волгоградской области от 15.09.2023 № 64-н
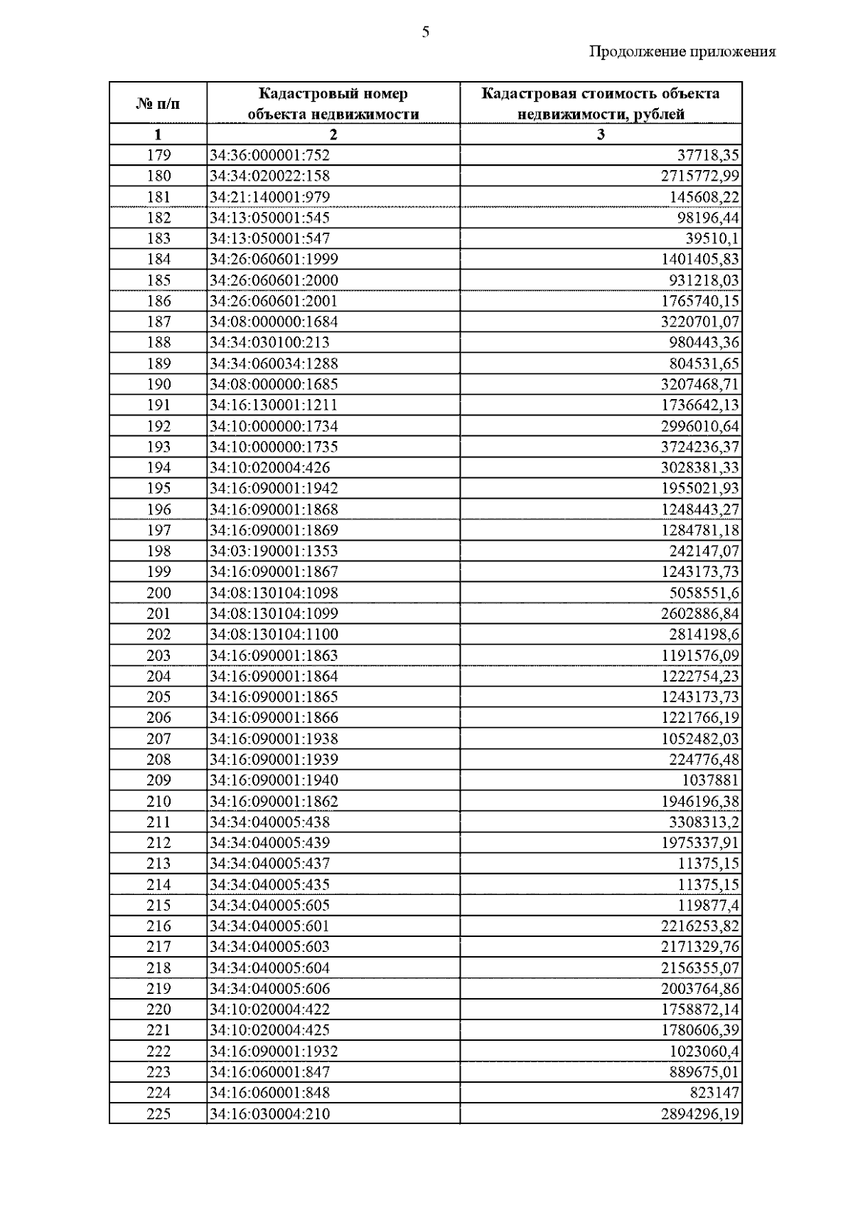
"Об утверждении результатов определения кадастровой стоимости зданий, помещений, сооружений, объектов незавершенного строительства, машино - мест на территории Волгоградской области"
Номер опубликования: 3401202309200007
Дата опубликования: 20.09.2023
Страница №6 из 39609:
Увеличить