Официальное опубликование правовых актов
ОФИЦИАЛЬНОЕ ОПУБЛИКОВАНИЕ
Приказ комитета финансов Волгоградской области от 18.09.2023 № 311
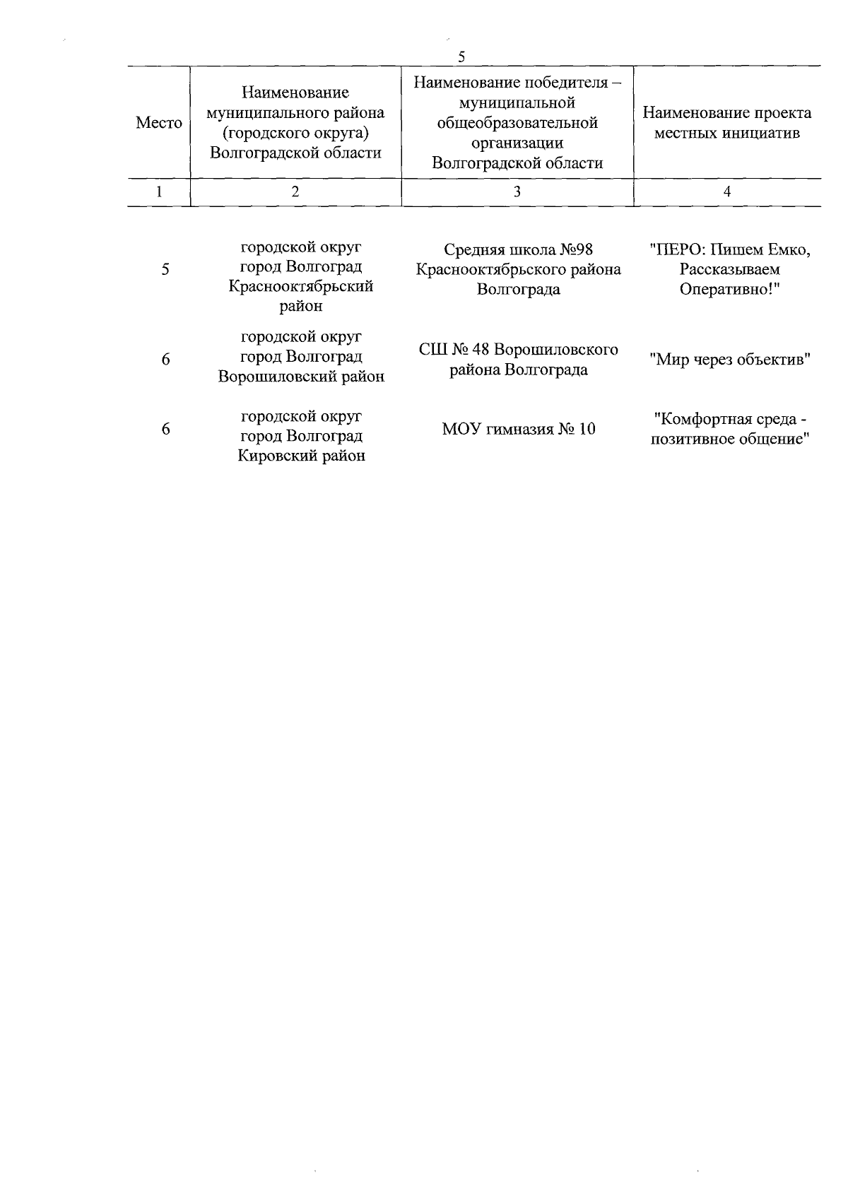
"Об утверждении результатов конкурса проектов местных инициатив в рамках организации кампуса "Школа детского инициативного бюджетирования"
Номер опубликования: 3401202309190003
Дата опубликования: 19.09.2023
Страница №6 из 6:
Увеличить