Официальное опубликование правовых актов
ОФИЦИАЛЬНОЕ ОПУБЛИКОВАНИЕ
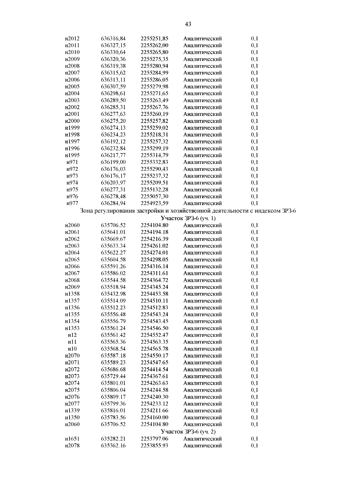
Приказ комитета государственной охраны объектов культурного наследия Волгоградской области от 07.09.2023 № 435
"Об установлении зон охраны объекта культурного наследия регионального значения "Исторический центр города Камышина", расположенного по адресу: Волгоградская область, г. Камышин, утверждении требований к градостроительным регламентам в границах данных зон"
Номер опубликования: 3401202309080004
Дата опубликования: 08.09.2023
Страница №45 из 160:
Увеличить