Приказ комитета государственной охраны объектов культурного наследия Волгоградской области от 29.08.2023 № 415
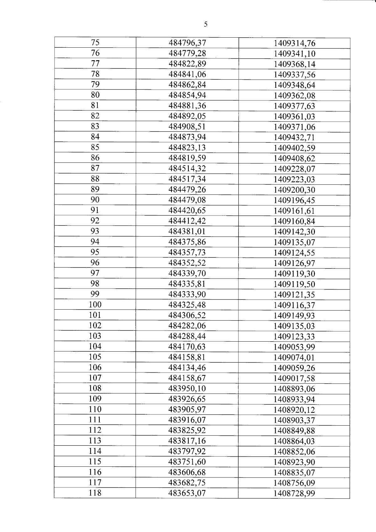
"Об утверждении границ и режима использования территории объекта культурного наследия регионального значения "Комплекс застройки ул. Советской", расположенного по адресу: Волгоградская область, г. Волгоград, Центральный район, ул. Советская, 1-47"
"Об утверждении границ и режима использования территории объекта культурного наследия регионального значения "Комплекс застройки ул. Советской", расположенного по адресу: Волгоградская область, г. Волгоград, Центральный район, ул. Советская, 1-47"
Номер опубликования: 3401202308300002
Дата опубликования:
30.08.2023
