Официальное опубликование правовых актов
ОФИЦИАЛЬНОЕ ОПУБЛИКОВАНИЕ
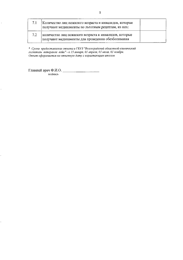
Приказ комитета социальной защиты населения Волгоградской области, комитета здравоохранения Волгоградской области от 29.06.2023 № 1410, 1809
"Об утверждении Порядка межведомственного взаимодействия медицинских организаций, организаций социального обслуживания и центров социальной защиты населения в рамках создания и функционирования системы долговременного ухода за гражданами пожилого возраста и инвалидами, нуждающимися в уходе в Волгоградской области, включая организацию их социального сопровождения"
Номер опубликования: 3401202307030002
Дата опубликования: 03.07.2023
Страница №55 из 56:
Увеличить