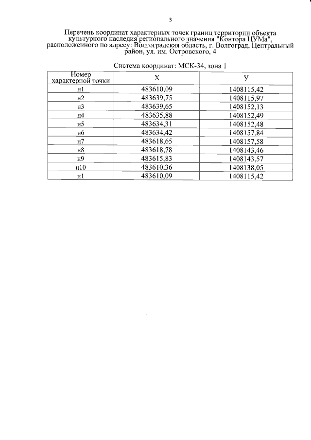
Приказ комитета государственной охраны объектов культурного наследия Волгоградской области от 11.04.2023 № 157
"Об утверждении описания местоположения границ территории ряда объектов культурного наследия федерального и регионального значения, расположенных на территории городского округа город-герой Волгоград"
"Об утверждении описания местоположения границ территории ряда объектов культурного наследия федерального и регионального значения, расположенных на территории городского округа город-герой Волгоград"
Номер опубликования: 3401202304120011
Дата опубликования:
12.04.2023
