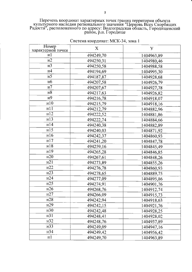
Приказ комитета государственной охраны объектов культурного наследия Волгоградской области от 11.04.2023 № 158
"Об утверждении описания местоположения границ территории ряда объектов культурного наследия федерального и регионального значения, расположенных на территории Быковского, Городищенского, Дубовского и Калачевского районов Волгоградской области"
"Об утверждении описания местоположения границ территории ряда объектов культурного наследия федерального и регионального значения, расположенных на территории Быковского, Городищенского, Дубовского и Калачевского районов Волгоградской области"
Номер опубликования: 3401202304120010
Дата опубликования:
12.04.2023
