Официальное опубликование правовых актов
ОФИЦИАЛЬНОЕ ОПУБЛИКОВАНИЕ
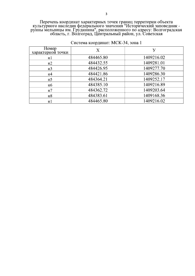
Приказ комитета государственной охраны объектов культурного наследия Волгоградской области от 03.04.2023 № 141
"Об утверждении описания местоположения границ территории ряда объектов культурного наследия федерального значения, расположенных на территории городского округа город-герой Волгоград"
Номер опубликования: 3401202304040006
Дата опубликования: 04.04.2023
Страница №21 из 33:
Увеличить