Официальное опубликование правовых актов
ОФИЦИАЛЬНОЕ ОПУБЛИКОВАНИЕ
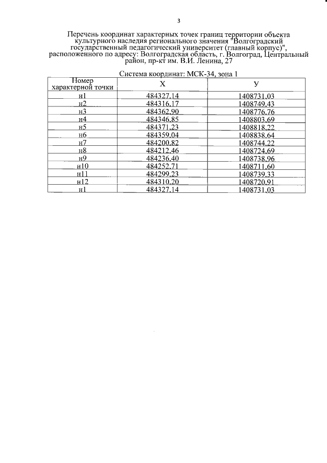
Приказ комитета государственной охраны объектов культурного наследия Волгоградской области от 21.03.2023 № 124
"Об утверждении границ и режимов использования территории ряда объектов культурного наследия регионального значения, расположенных на территории городского округа город-герой Волгоград"
Номер опубликования: 3401202303230003
Дата опубликования: 23.03.2023
Страница №33 из 42:
Увеличить