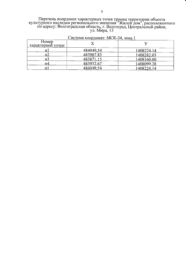
Приказ комитета государственной охраны объектов культурного наследия Волгоградской области от 21.03.2023 № 124
"Об утверждении границ и режимов использования территории ряда объектов культурного наследия регионального значения, расположенных на территории городского округа город-герой Волгоград"
"Об утверждении границ и режимов использования территории ряда объектов культурного наследия регионального значения, расположенных на территории городского округа город-герой Волгоград"
Номер опубликования: 3401202303230003
Дата опубликования:
23.03.2023
