Официальное опубликование правовых актов
ОФИЦИАЛЬНОЕ ОПУБЛИКОВАНИЕ
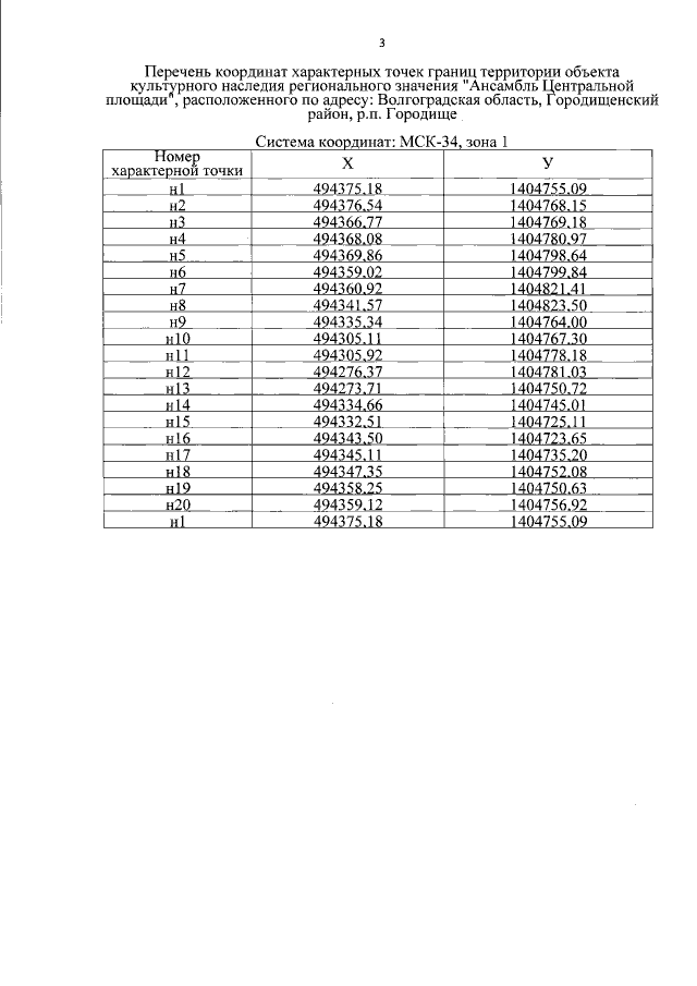
Приказ комитета государственной охраны объектов культурного наследия Волгоградской области от 16.01.2023 № 24
"Об утверждении границ и режимов использования территории ряда объектов культурного наследия регионального и федерального значения, расположенных на территории Городищенского, Даниловского, Жирновского и Руднянского районов Волгоградской области"
Номер опубликования: 3401202301170001
Дата опубликования: 17.01.2023
Страница №5 из 29:
Увеличить