Официальное опубликование правовых актов
ОФИЦИАЛЬНОЕ ОПУБЛИКОВАНИЕ
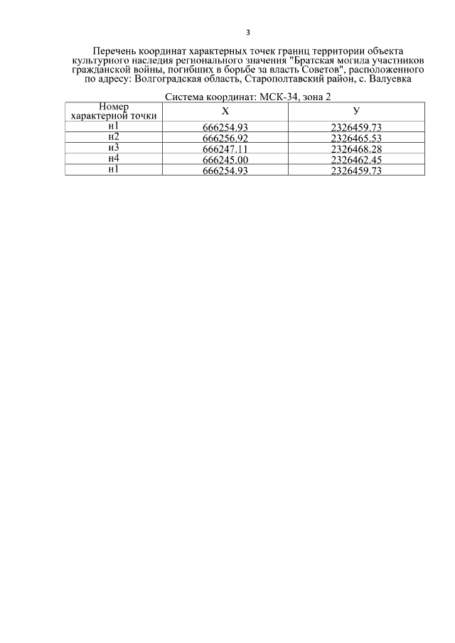
Приказ комитета государственной охраны объектов культурного наследия Волгоградской области от 29.11.2022 № 632
"Об утверждении границ и режимов использования территории ряда объектов культурного наследия регионального значения, расположенных на территории городского округа-город Волжский, Светлоярского, Среднеахтубинского и Старополтавского районов Волгоградской области"
Номер опубликования: 3401202212010007
Дата опубликования: 01.12.2022
Страница №21 из 42:
Увеличить