Официальное опубликование правовых актов
ОФИЦИАЛЬНОЕ ОПУБЛИКОВАНИЕ
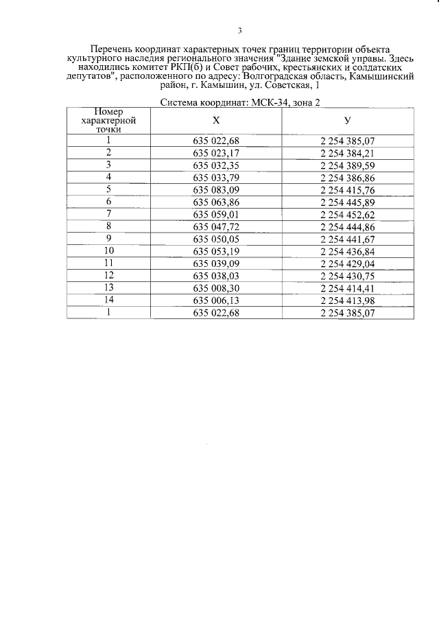
Приказ комитета государственной охраны объектов культурного наследия Волгоградской области от 02.11.2022 № 562
"Об утверждении границ и режимов использования территории ряда объектов культурного наследия регионального значения, расположенных на территории городского округа - город Камышин, городского округа город Фролово, Жирновского, Фроловского и Чернышковского районов Волгоградской области"
Номер опубликования: 3401202211070009
Дата опубликования: 07.11.2022
Страница №9 из 38:
Увеличить