Официальное опубликование правовых актов
ОФИЦИАЛЬНОЕ ОПУБЛИКОВАНИЕ
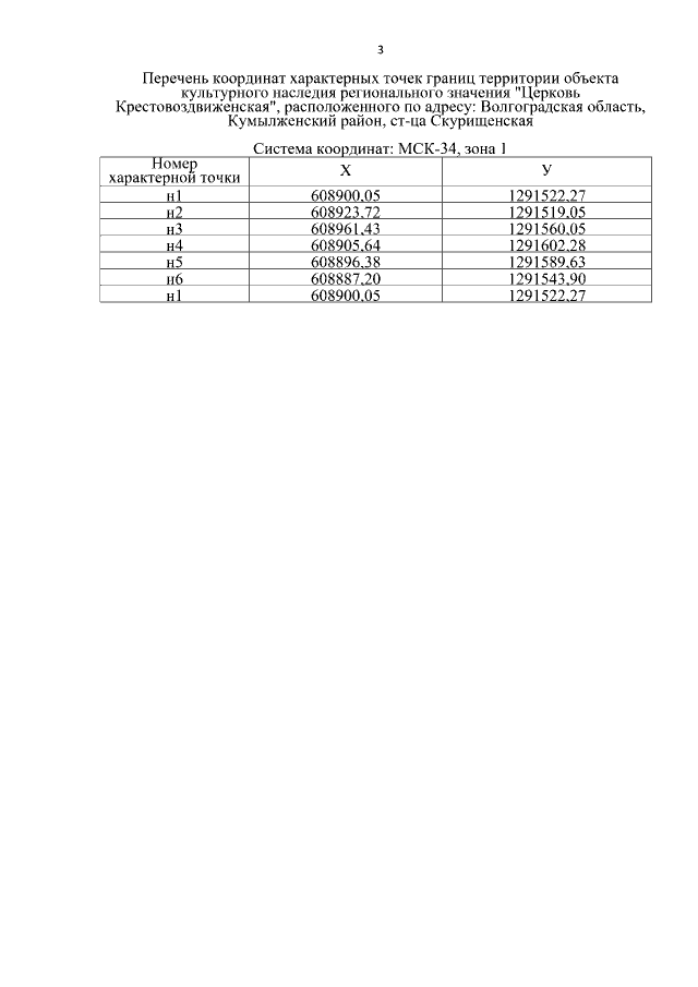
Приказ комитета государственной охраны объектов культурного наследия Волгоградской области от 19.10.2022 № 543
"Об утверждении границ и режимов использования территории ряда объектов культурного наследия регионального значения, расположенных на территории Кумылженского района Волгоградской области"
Номер опубликования: 3401202210210011
Дата опубликования: 21.10.2022
Страница №5 из 38:
Увеличить