Официальное опубликование правовых актов
ОФИЦИАЛЬНОЕ ОПУБЛИКОВАНИЕ
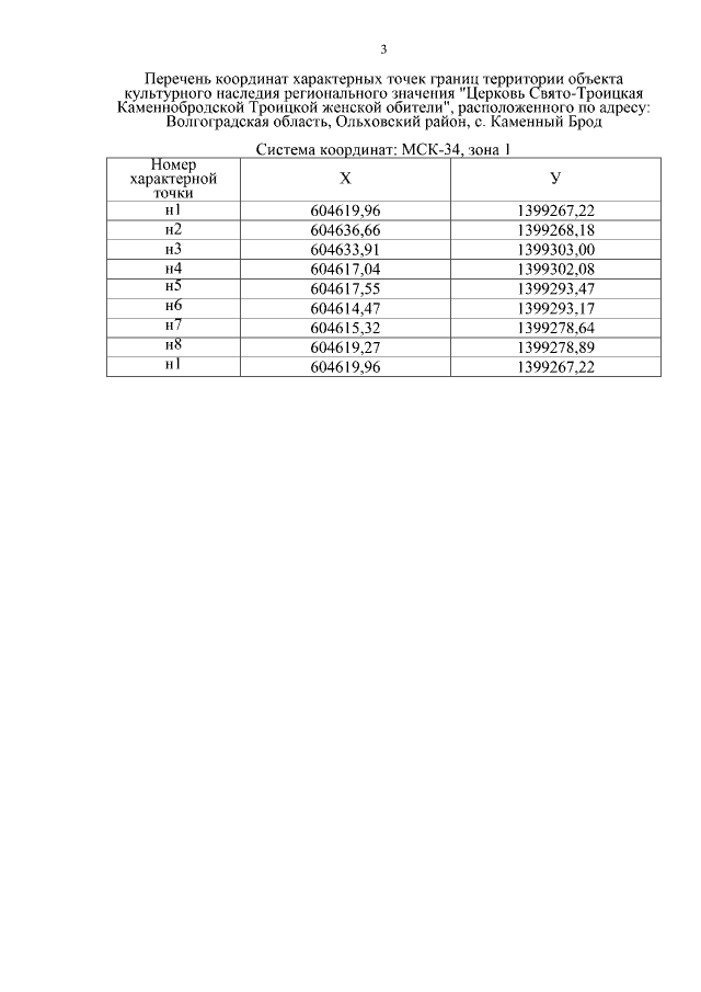
Приказ комитета государственной охраны объектов культурного наследия Волгоградской области от 04.10.2022 № 514
"Об утверждении границ и режимов использования территории ряда объектов культурного наследия регионального значения, расположенных на территории Ольховского района Волгоградской области"
Номер опубликования: 3401202210060007
Дата опубликования: 06.10.2022
Страница №17 из 34:
Увеличить