Официальное опубликование правовых актов
ОФИЦИАЛЬНОЕ ОПУБЛИКОВАНИЕ
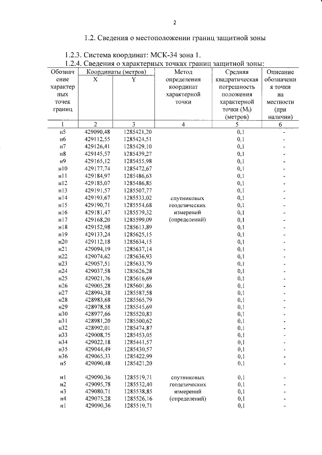
Приказ комитета государственной охраны объектов культурного наследия Волгоградской области от 15.09.2022 № 467
"Об утверждении описания местоположения границ защитных зон объектов культурного наследия регионального значения, расположенных на территории Суровикинского и Чернышковского районов Волгоградской области, режима использования земель в границах данных защитных зон"
Номер опубликования: 3401202209160001
Дата опубликования: 16.09.2022
Страница №25 из 36:
Увеличить