Официальное опубликование правовых актов
ОФИЦИАЛЬНОЕ ОПУБЛИКОВАНИЕ
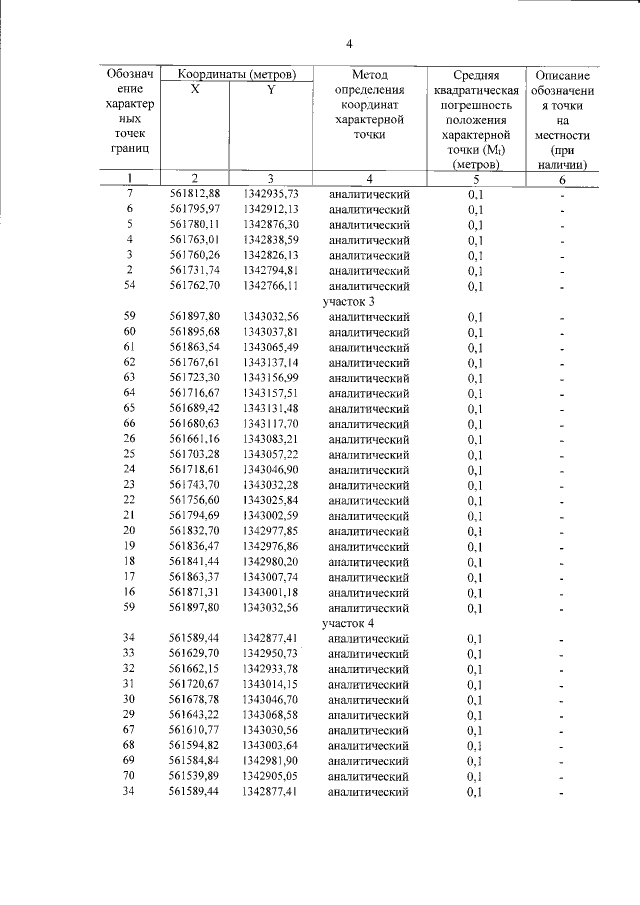
Приказ комитета государственной охраны объектов культурного наследия Волгоградской области от 07.09.2022 № 448
"Об установлении зон охраны ряда объектов культурного наследия регионального значения, расположенных на территории город-герой Волгоград, Жирновского, Иловлинского и Старополтавского районов Волгоградской области, утверждении требований к градостроительным регламентам в границах данных зон"
Номер опубликования: 3401202209080002
Дата опубликования: 08.09.2022
Страница №33 из 53:
Увеличить