Официальное опубликование правовых актов
ОФИЦИАЛЬНОЕ ОПУБЛИКОВАНИЕ
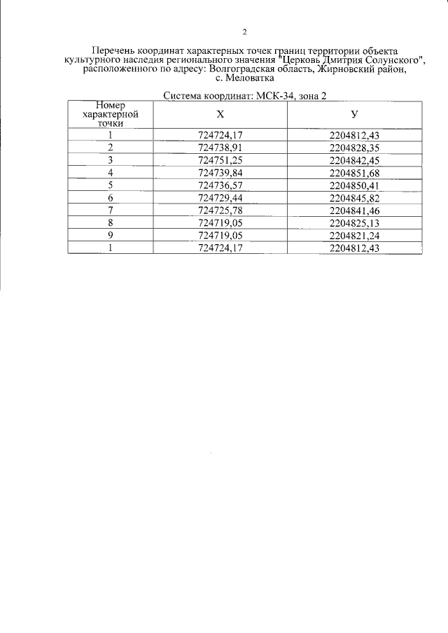
Приказ комитета государственной охраны объектов культурного наследия Волгоградской области от 31.08.2022 № 420
"Об утверждении границ территории ряда объектов культурного наследия регионального значения, расположенных на территории городского округа город-герой Волгоград, Жирновского, Иловлинского, Старополтавского и Урюпинского районов Волгоградской области"
Номер опубликования: 3401202209010004
Дата опубликования: 01.09.2022
Страница №8 из 19:
Увеличить